产品介绍
永固红F3RK
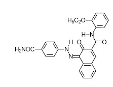
一.产品名称
商品名称:永固红F3RK
国际索引号:C.I. Pigment Red 170
CAS登记号:2786-76-7
欧共体登记号:220-509-3
产品系列:单偶氮
二.物化和牢度性能
分子量:454.48
分子式:C26H22N4O4
PH值:6.5-7.5
比重:1.5
吸油量(ml/100g):35-45
耐光性:7
耐热性:180℃
耐水性:5
耐油性:5
耐酸性:5
耐碱性:5
三.应用领域
色光:黄光红
主要用于工业漆和汽车漆,也可用于水性漆和塑料。





